
최근 머신러닝, 특히 자연어 처리(NLP) 분야에서 순차적인 데이터의 패턴을 파악하고 레이블을 예측하는 능력은 매우 중요합니다. 이러한 시퀀스 레이블링(Sequence Labeling) 문제에 탁월한 성능을 보이는 모델 중 하나가 바로 CRF(Conditional Random Fields) 입니다.
CRF 모델은 단순히 개별 데이터 포인트를 독립적으로 판단하는 것을 넘어, 전체 시퀀스의 맥락을 종합적으로 고려하여 최적의 레이블 시퀀스를 찾아냅니다. 본 보고서는 CRF의 핵심 원리와 다른 확률 모델과의 비교, 그리고 실제 활용 사례를 깊이 있게 분석하여 해당 모델에 대한 전문적인 이해를 돕고자 합니다.

📜 확률 모델의 진화와 CRF의 등장 배경
초기 시퀀스 모델링에는 은닉 마르코프 모델(HMM, Hidden Markov Model)이 널리 사용되었습니다. HMM은 생성 모델(Generative Model)의 일종으로, 레이블 시퀀스와 관측 시퀀스의 결합 확률(Joint Probability)을 모델링합니다. 즉, 특정 레이블 시퀀스가 주어졌을 때 이러한 관측 시퀀스가 나타날 확률을 계산하는 방식입니다.
하지만 HMM은 두 가지 주요한 한계를 가지고 있었습니다. 첫째, 관측값(예: 단어)의 독립성을 가정하기 때문에, 단어의 다양한 특징(feature)을 유연하게 반영하기 어렵습니다. 예를 들어, 특정 단어의 품사를 예측할 때 그 단어의 접두사, 접미사, 대문자 여부 등 풍부한 정보를 활용하는 데 제약이 있었습니다.
이러한 한계를 극복하기 위해 등장한 모델이 바로 최대 엔트로피 마르코프 모델(MEMM, Maximum Entropy Markov Model)입니다. MEMM은 판별 모델(Discriminative Model)로, 관측 시퀀스가 주어졌을 때 레이블 시퀀스의 조건부 확률을 직접 모델링합니다. 이 덕분에 HMM보다 훨씬 다양한 피처를 자유롭게 활용하여 예측 성능을 높일 수 있었습니다.
하지만 MEMM 역시 '레이블 편향 문제(Label Bias Problem)'라는 치명적인 단점을 안고 있었습니다. 이는 특정 상태(레이블)에서 다음 상태로 전이할 때, 선택지가 적은 상태는 그 적은 수의 다음 상태에 확률이 집중되어 강한 전이 경향을 보이는 문제입니다. 반면, 여러 다음 상태로 전이가 가능한 상태는 확률이 분산되어 약한 전이 경향을 갖게 됩니다.
이로 인해 모델이 전체 시퀀스를 고려하지 않고 국소적인 최적해에 갇히게 되는 현상이 발생했습니다. 바로 이 문제를 해결하기 위해 등장한 것이 CRF입니다.

💡 CRF 모델의 작동 원리 심층 분석
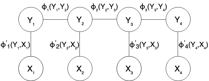
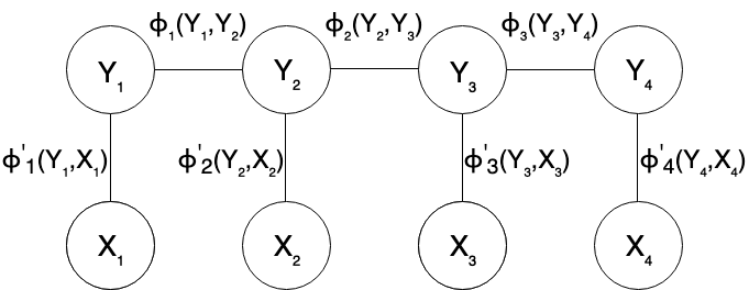
CRF는 판별 모델의 유연성과 그래피컬 모델의 장점을 결합한 확률적 모델입니다. 특히 시퀀스 레이블링 문제에서는 가장 단순한 형태인 선형 연쇄 CRF(Linear-Chain CRF)가 널리 사용됩니다. CRF의 가장 큰 특징은 HMM이나 MEMM처럼 각 상태의 확률을 개별적으로 정규화(normalize)하지 않고, 전체 레이블 시퀀스에 대한 확률을 한 번에 계산한다는 점입니다.
전역적 정규화(Global Normalization)
MEMM이 각 타임스텝(time step)마다 다음 레이블의 확률을 계산하고 정규화했던 것과 달리, CRF는 모든 타임스텝의 레이블을 고려한 점수(score)를 먼저 계산합니다. 이 점수는 피처 함수(feature function)들의 가중치 합으로 계산됩니다. 그리고 나서 이 점수들을 모든 가능한 레이블 시퀀스에 대해 합산하여 정규화 인자(normalization factor, 파티션 함수 Z(x)라고도 함)를 구합니다.
- P(y | x) = (1/Z(x)) * exp( Σ (가중치 * 피처 함수) )
여기서 y는 레이블 시퀀스, x는 관측 시퀀스를 의미합니다. 이처럼 전체 시퀀스에 대해 정규화를 수행하기 때문에, CRF는 국소적인 최적해에 빠지지 않고 전역적으로 가장 확률이 높은 레이블 시퀀스를 찾아낼 수 있습니다. 이것이 CRF가 MEMM의 레이블 편향 문제를 해결하는 핵심 원리입니다.
피처 함수의 유연성
CRF 모델의 또 다른 강점은 피처 함수의 유연성입니다. CRF는 특정 타임스텝의 레이블(y_i)과 전체 관측 시퀀스(x)에 의존하는 상태 피처(state feature), 그리고 현재와 이전 타임스텝의 레이블(y_i-1, y_i)과 전체 관측 시퀀스(x)에 의존하는 전이 피처(transition feature)를 자유롭게 설계할 수 있습니다.
예를 들어, 개체명 인식(Named Entity Recognition) 문제를 푼다고 가정해봅시다.
- 상태 피처: "단어 '서울'은 '지역명' 레이블을 가질 가능성이 높다.", "현재 단어가 대문자로 시작하면 '인명'일 가능성이 있다."
- 전이 피처: "레이블 'B-PER'(인명의 시작) 다음에는 'I-PER'(인명의 일부) 레이블이 올 가능성이 높다.", "레이O'(개체명 아님) 다음에는 'I-PER'이 올 수 없다."
이처럼 정교하고 풍부한 피처를 모델에 반영할 수 있기 때문에, CRF는 복잡한 패턴을 학습하여 높은 예측 정확도를 달성할 수 있습니다.
⚖️ CRF, HMM, MEMM 모델 비교 분석
| 구분 | HMM (Hidden Markov Model) | MEMM (MaxEnt Markov Model) | CRF (Conditional Random Fields) |
|---|---|---|---|
| 모델 타입 | 생성 모델 (Generative) | 판별 모델 (Discriminative) | 판별 모델 (Discriminative) |
| 그래프 방향성 | 방향성 (Directed) | 방향성 (Directed) | 무방향성 (Undirected) |
| 확률 모델링 | P(y, x) | P(y | x) |
| 피처 활용 | 제한적 (관측 독립성 가정) | 유연함 | 매우 유연함 |
| 핵심 문제 | 피처 활용의 한계 | 레이블 편향 문제 (Label Bias) | 계산 비용이 높음 |
| 정규화 | 각 상태 전이에서 지역적 정규화 | 각 상태 전이에서 지역적 정규화 | 전체 시퀀스에 대해 전역적 정규화 |
레이블 편향 문제 사례
실제 필드에서 모델을 개발하다 보면 레이블 편향 문제가 얼마나 치명적인지 체감하게 됩니다. 예를 들어, 음성 인식 후 텍스트를 처리하는 작업에서 'ribs'와 'rips'라는 두 단어를 구분해야 한다고 가정합시다. 'r' 다음에는 'i'가 오는 것이 거의 확실하므로, MEMM 모델은 'r' 상태에서 'i' 상태로 가는 전이 확률에 점수를 매우 높게 부여합니다. 하지만 's' 상태 다음에는 다양한 소리가 올 수 있어 확률이 분산됩니다.
이때, 관측된 소리가 'rips'에 가까움에도 불구하고, 'r-i-b'의 전이 확률이 'r-i-p'보다 조금이라도 높게 학습되었다면, MEMM은 전체 시퀀스의 가능성을 보기보다 지역적으로 강한 전이인 'ribs'를 선택할 오류 가능성이 커집니다.
반면, CRF는 전체 시퀀스('rips', 'ribs')의 점수를 각각 계산하고 비교하기 때문에, 관측 정보에 더 충실한 올바른 결정을 내릴 수 있습니다. 이러한 특성 때문에 노이즈가 많거나 복잡한 의존성을 가진 실제 데이터에서 CRF는 더욱 강력한 성능을 발휘합니다.

🛠️ CRF의 주요 활용 분야
CRF는 이론적 우수성을 바탕으로 다양한 시퀀스 레이블링 문제에서 성공적으로 적용되어 왔습니다.
- 자연어 처리 (NLP)
- 개체명 인식 (NER): 문장에서 '인명', '기관명', '지명' 등 특정 카테고리에 속하는 단어 시퀀스를 찾아내는 기술입니다. "철수가 서울역에서 점심을 먹었다"라는 문장에서 '철수[인명]', '서울역[지명]'을 식별합니다. CRF는 단어 자체의 정보뿐만 아니라 앞뒤 단어와의 관계, 품사 태그 등을 종합적으로 고려하여 정확도를 높입니다.
- 품사 태깅 (POS Tagging): 문장의 각 단어에 적절한 품사(명사, 동사, 형용사 등)를 할당하는 작업입니다. CRF는 문맥을 이해하여 'run'이 명사(a long run)인지 동사(I run)인지 구분하는 데 뛰어납니다.
- 의미역 결정 (Semantic Role Labeling): 문장에서 술어(동사, 형용사)를 중심으로 각 논항(주어, 목적어 등)의 의미적 역할을 분석하는 기술입니다.
- 생물정보학 (Bioinformatics)
- 유전자 서열 분석: DNA나 단백질 서열에서 특정 기능을 가진 영역(예: 유전자 코딩 영역)을 예측하는 데 CRF가 활용됩니다. 염기 서열의 패턴과 이웃 관계를 분석하여 구조를 예측합니다.
- 컴퓨터 비전
- 이미지 분할 (Image Segmentation): 이미지의 각 픽셀을 특정 객체나 배경으로 분류하는 작업에 CRF가 응용될 수 있습니다. 픽셀 간의 공간적 관계를 모델링하여 부드럽고 정확한 분할 결과를 얻습니다.
결론적으로, CRF 모델은 시퀀스 데이터의 복잡한 의존성과 패턴을 효과적으로 학습할 수 있는 강력한 프레임워크입니다. 비록 학습 과정에서 계산 비용이 높다는 단점이 있지만, 레이블 편향 문제를 해결하고 다양한 피처를 유연하게 활용할 수 있다는 점에서 HMM과 MEMM을 뛰어넘는 성능을 제공합니다.
딥러닝 기반의 Bi-LSTM-CRF와 같은 최신 모델에서도 그 핵심 원리가 여전히 중요하게 사용될 만큼, CRF는 시퀀스 레이블링 분야의 근간을 이루는 중요한 기술이라 할 수 있습니다.
'Library > Article' 카테고리의 다른 글
| 비영리단체 IT 지원 운영 효율성 및 투명성 향상 방안 (0) | 2025.07.11 |
|---|---|
| '사람은 고쳐 쓰는 게 아니다' 인간관계의 냉정한 진실 (0) | 2025.04.20 |
| 나르시시스트 특징 - 당신의 관계를 파괴하는 9가지 신호와 대처법 (0) | 2025.04.20 |
| 하브루타 교육법 - 질문과 토론을 통한 지식의 성장 (0) | 2024.09.27 |
| 성인 이행기 연장, 한국 사회의 변화와 도전 (0) | 2024.04.20 |
| 인텔 가우디 3 차세대 AI칩 (0) | 2024.04.12 |
| 유대인의 학습 비결, '하브루타 학습법'으로 높은 성과를 이끄는 비밀! (0) | 2023.11.22 |
| 건강한 라이프스타일 유지의 중요성 (0) | 2023.02.16 |